Упр.1134 ГДЗ Колягин Ткачёва 11 класс (Алгебра)
Решение #1
Решение #2

Рассмотрим вариант решения задания из учебника Колягин, Ткачёва, Фёдорова 11 класс, Просвещение:
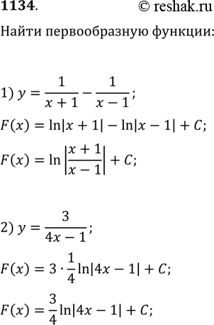
1134 Найти первообразную функции:
1) y=1/x+1 - 1/x-1;
2) y=3/4x-1.
*размещая тексты в комментариях ниже, вы автоматически соглашаетесь с пользовательским соглашением