Задание 6 Параграф 13 ГДЗ Рабочая тетрадь 2 Мерзляк Полонский 8 класс (Алгебра)
Решение #1

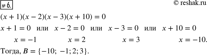
Рассмотрим вариант решения задания из учебника Мерзляк, Полонская, Якир 8 класс, Вентана-Граф:
6. Пусть B - множество корней уравнения (x+1)(x-2)(x-3)(x+10)=0. Тогда B={_____}.
*размещая тексты в комментариях ниже, вы автоматически соглашаетесь с пользовательским соглашением