Упр.16.35 ГДЗ Мерзляк Поляков 8 класс (Алгебра)

Решение #1

Изображение 16.35. Сократите дробь:1)  (a+vab)/(b+vab),a?0; 2)  (b+vab)/v(-b); 3)  (a+b+2vab)/(v(-a)+v(-b)).   ...
Загрузка...

Рассмотрим вариант решения задания из учебника Мерзляк, Поляков 8 класс, Вентана-Граф:
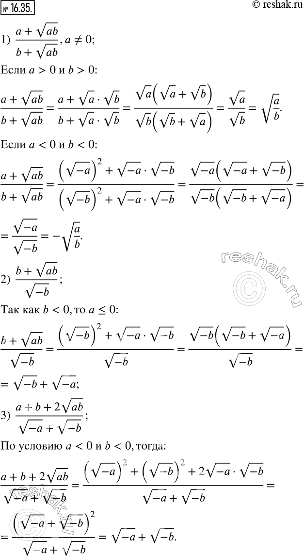
16.35. Сократите дробь:
1) (a+vab)/(b+vab),a?0;
2) (b+vab)/v(-b);
3) (a+b+2vab)/(v(-a)+v(-b)).
*Цитирирование задания со ссылкой на учебник производится исключительно в учебных целях для лучшего понимания разбора решения задания.
*размещая тексты в комментариях ниже, вы автоматически соглашаетесь с пользовательским соглашением