Упр.17.35 ГДЗ Мерзляк Поляков 8 класс (Алгебра)
Решение #1

Рассмотрим вариант решения задания из учебника Мерзляк, Поляков 8 класс, Вентана-Граф:
17.35. Упростите выражение:
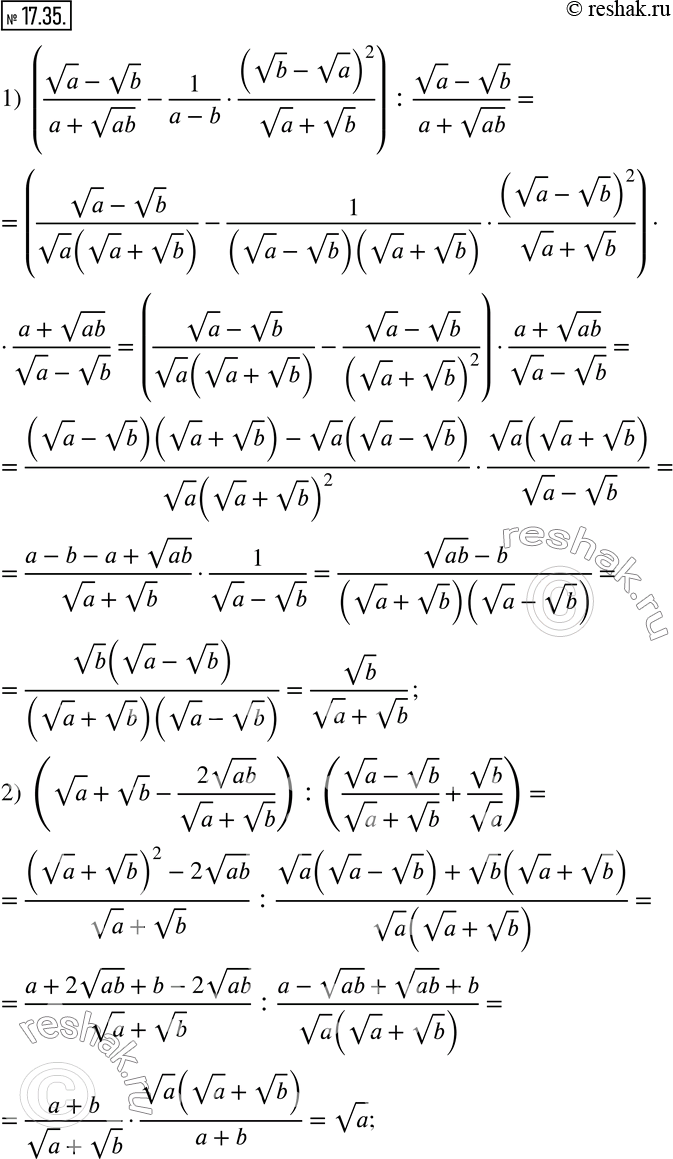
1) ((va-vb)/(a+vab)-1/(a-b)•(vb-va)^2/(va+vb)) :(va-vb)/(a+vab);
2) (va+vb-(2vab)/(va+vb)) :((va-vb)/(va+vb)+vb/va);
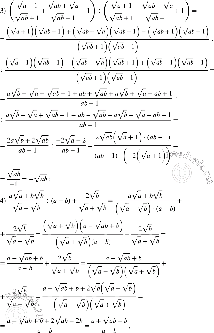
3) ((va+1)/(vab+1)+(vab+va)/(vab-1)-1) :((va+1)/(vab+1)-(vab+va)/(vab-1)+1);
4) (ava+bvb)/(va+vb) :(a-b)+(2vb)/(va+vb);
5) (1/(va-v(a-b))+1/(va+v(a+b))) :(1+v((a+b)/(a-b)));
6) ((v(a/b)-v(b/a)) :(v(a/b)+v(b/a)-2)) :(1+v(b/a)),a>0,b>0.
*размещая тексты в комментариях ниже, вы автоматически соглашаетесь с пользовательским соглашением