Упр.18 ГДЗ Никольский Потапов 6 класс (Математика)
Решение #1

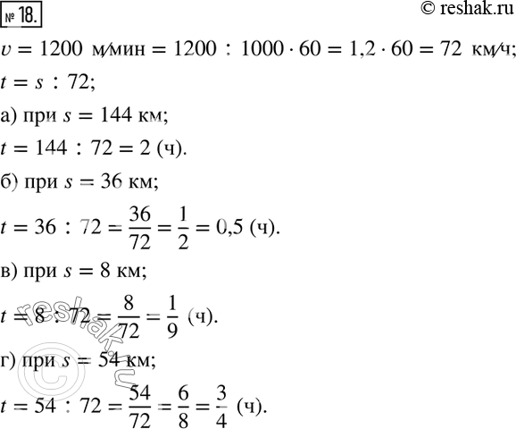
Рассмотрим вариант решения задания из учебника Никольский, Потапов, Решетников 6 класс, Просвещение:
18. Скорость легковой автомашины 1200 м/мин. За сколько часов машина проедет:
а) 144 км; б) 36 км; в) 8 км; г) 54 км?
*размещая тексты в комментариях ниже, вы автоматически соглашаетесь с пользовательским соглашением