Упр.2.390 ГДЗ Виленкин Жохов 6 класс Часть 1, Просвещение (Математика)

Решение #1

Изображение 2.390. Бобр живёт 15 лет, лев — в 1 2/3 раза дольше бобра, а дельфин — в 3 раза дольше льва. Сколько лет составляет продолжительность жизни дельфина? По условию лев...

Решение #2

Изображение 2.390. Бобр живёт 15 лет, лев — в 1 2/3 раза дольше бобра, а дельфин — в 3 раза дольше льва. Сколько лет составляет продолжительность жизни дельфина? По условию лев...

Рассмотрим вариант решения задания из учебника Виленкин, Жохов, Чесноков 6 класс, Просвещение:
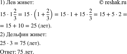
2.390. Бобр живёт 15 лет, лев — в 1 2/3 раза дольше бобра, а дельфин — в 3 раза дольше льва. Сколько лет составляет продолжительность жизни дельфина?

По условию лев живёт в 1 2/3 раза дольше бобра, то есть для того, чтобы найти продолжительность жизни льва, необходимо продолжительность жизни бобра умножить на 1 2/3 , получаем, что лев живёт
15•1 2/3=15•(1+2/3)=15•1+15•2/3=15+(15•2)/3=15+(3•5•2)/3=15+10/1=15+10=25 (лет).
Распределительное свойство умножения - при умножении смешанного числа на натуральное число, можно умножить целую часть на натуральное число; умножить дробную часть на это натуральное число; затем сложить полученные результаты.
Для того, чтобы умножить обыкновенную дробь на натуральное число, необходимо её числитель умножить на это число, а знаменатель оставить без изменений.
Прежде, чем выполнить умножение, выполняем сокращение дробей, то есть делим числитель и знаменатель на одно и то же число (наибольший общий делитель).
Дельфин живёт в 3 раза дольше льва, то есть для того, чтобы найти продолжительность жизни дельфина, необходимо продолжительность жизни льва умножить на 3, получаем, что, дельфин живёт 25•3=75 (лет).
Ответ: 75 лет.
*Цитирирование задания со ссылкой на учебник производится исключительно в учебных целях для лучшего понимания разбора решения задания.
*размещая тексты в комментариях ниже, вы автоматически соглашаетесь с пользовательским соглашением