Упр.242 ГДЗ Колягин Ткачёва 11 класс (Алгебра)
Решение #1
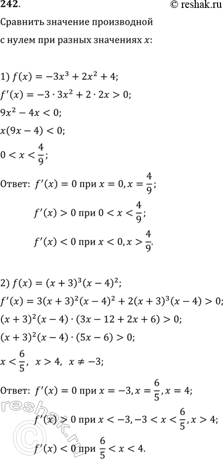
Решение #2

Рассмотрим вариант решения задания из учебника Колягин, Ткачёва, Фёдорова 11 класс, Просвещение:
242. Найти значения х, при которых значение производной функции f(x) равно 0; положительно; отрицательно, если:
1) f(х) = -3х3 + 2х2 + 4;
2) f(x) = (х + З)3(х - 4)2;
3) f(x)=3x+1/x-2;
4) f(x) = x2 +2/x.
*размещая тексты в комментариях ниже, вы автоматически соглашаетесь с пользовательским соглашением