Упр.323 ГДЗ Колягин Ткачёва 10 класс (Алгебра)
Решение #1
Решение #2

Рассмотрим вариант решения задания из учебника Колягин, Ткачёва, Фёдорова 10 класс, Просвещение:
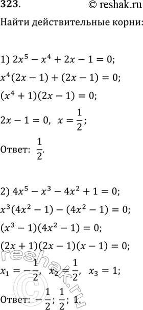
323. Найти действительные корни уравнения:
1) 2х5 - х4 + 2х - 1 = 0;
2) 4х5 - х3 - 4х2 + 1 = 0;
3) 6х6 - х5 - х4 + 6х2 - х - 1 = 0;
4) 4х6 + 4х5 - х4 - 5х3 - 4х2 + х + 1 = 0.
*размещая тексты в комментариях ниже, вы автоматически соглашаетесь с пользовательским соглашением