Задание 4 Параграф 4 ГДЗ Рабочая тетрадь 1 Мерзляк Полонский 9 класс (Алгебра)
Решение #1

Рассмотрим вариант решения задания из учебника Мерзляк, Полонская, Якир 9 класс, Вентана-Граф:
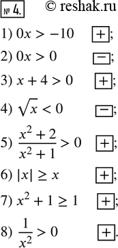
4. Поставьте в пустой клетке знак «+», если множеством решений неравенства является множество R, или знак «-», если множеством решений неравенства является пустое множество.
1) 0x > -10; 3) х + 4 > 0; 5) (x^2 + 2)/(x^2 + 1) > 0; 7) x^2 + 1 ? 1;
2) 0х > 0; 4) vх < 0; 6) |x| ? x; 8) 1/x^2 > 0.
*размещая тексты в комментариях ниже, вы автоматически соглашаетесь с пользовательским соглашением