Упр.418 ГДЗ Колягин Ткачёва 10 класс (Алгебра)
Решение #1
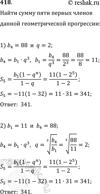
Решение #2

Рассмотрим вариант решения задания из учебника Колягин, Ткачёва, Фёдорова 10 класс, Просвещение:
418. Найти сумму первых пяти членов геометрической прогрессии, если:
1) b4 = 88, q = 2;
2) b1 = 11, b4 = 88.
*размещая тексты в комментариях ниже, вы автоматически соглашаетесь с пользовательским соглашением