Упр.458 ГДЗ Макарычев Миндюк 9 класс (Углубленный) (Алгебра)
Решение #1

Рассмотрим вариант решения задания из учебника Макарычев, Миндюк, Нешков 9 класс, Просвещение:
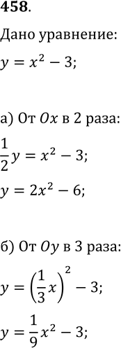
458. Составьте уравнение, график которого получается растяжением графика уравнения y=x^2-3:
а) от оси x в 2 раза; б) от оси y в 3 раза.
*размещая тексты в комментариях ниже, вы автоматически соглашаетесь с пользовательским соглашением