Упр.464 ГДЗ Никольский Потапов 8 класс (Алгебра)
Решение #1

Рассмотрим вариант решения задания из учебника Никольский, Потапов 8 класс, Просвещение:
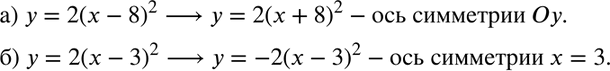
464 а) Напишите уравнение функции, график которой симметричен графику функции у = 2(х - 8)2 относительно оси Оу.
б) Напишите уравнение какой-либо параболы, осью симметрии которой является прямая х = 3.
*размещая тексты в комментариях ниже, вы автоматически соглашаетесь с пользовательским соглашением