Упр.5.13 ГДЗ Мерзляк Поляков 8 класс (Алгебра)
Решение #1

Рассмотрим вариант решения задания из учебника Мерзляк, Поляков 8 класс, Вентана-Граф:
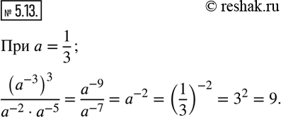
5.13. Найдите значение выражения (a^(-3))^3/(a^(-2) · a^(-5)) при a=1/3.
*размещая тексты в комментариях ниже, вы автоматически соглашаетесь с пользовательским соглашением