Упр.555 ГДЗ Колягин Ткачёва 10 класс (Алгебра)
Решение #1
Решение #2

Рассмотрим вариант решения задания из учебника Колягин, Ткачёва, Фёдорова 10 класс, Просвещение:
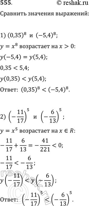
555. Сравнить значения выражений:
1) (0,35)8 и (—5,4)8;
2) (-11/17)5 и (-6/13)5;
3) (1- корень 5)7 и (корент 3- 1)7;
4) (корень 3 +1)10 и (корень 2 + 2)10.
*размещая тексты в комментариях ниже, вы автоматически соглашаетесь с пользовательским соглашением