Упр.780 ГДЗ Колягин Ткачёва 10 класс (Алгебра)
Решение #1
Решение #2

Рассмотрим вариант решения задания из учебника Колягин, Ткачёва, Фёдорова 10 класс, Просвещение:
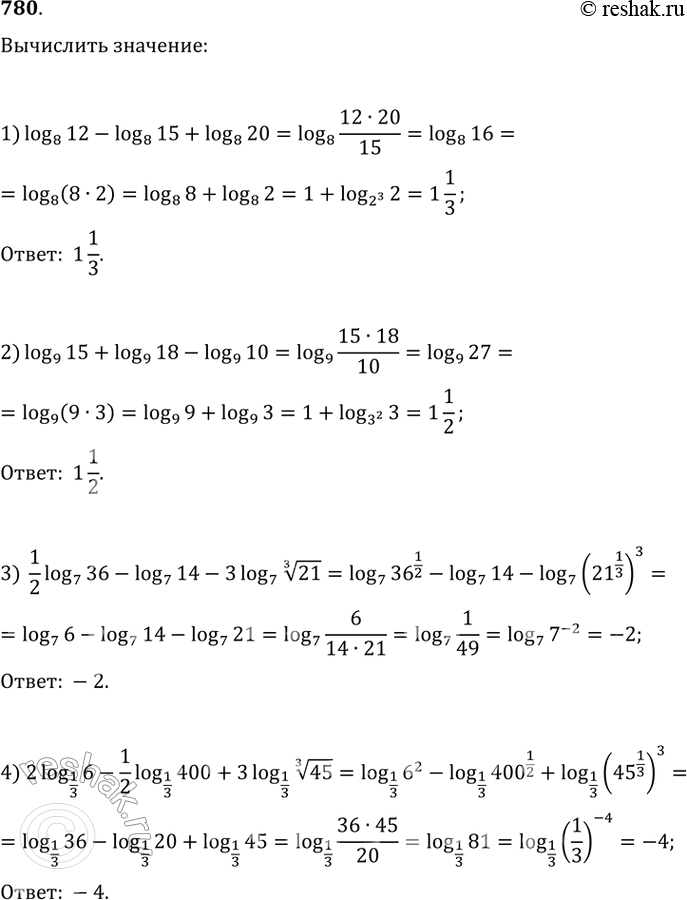
780.
1) логарифм 12 по основанию 8 -логарифм 15 по основанию 8+логарифм 20 по основанию 8
2) логарифм 15 по основанию 9+логарифм 18 по основанию 9-логарифм 10 по основанию 9
3) 1/2 логарифм 36 по основанию 7-логарифм 14 по основанию 7-3*логарифм корня третьей степени из 21 по основанию 7
4) 2*логарифм 6 по основанию 1/3-1/2*логарифм 400 по основанию 1/3+3*логарифм корня третьей степени из 45 по основанию 1/3
*размещая тексты в комментариях ниже, вы автоматически соглашаетесь с пользовательским соглашением