Упр.867 ГДЗ Колягин Ткачёва 11 класс (Алгебра)
Решение #1
Решение #2

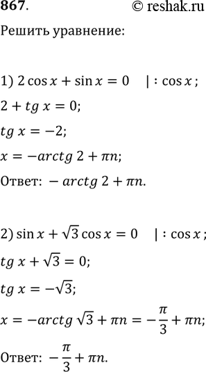
Рассмотрим вариант решения задания из учебника Колягин, Ткачёва, Фёдорова 11 класс, Просвещение:
867. 1) 2cosx + sinx = 0;
2) sinx + корень 3 cosx = 0.
*размещая тексты в комментариях ниже, вы автоматически соглашаетесь с пользовательским соглашением