Упр.877 ГДЗ Никольский Потапов 9 класс (Алгебра)

Решение #1

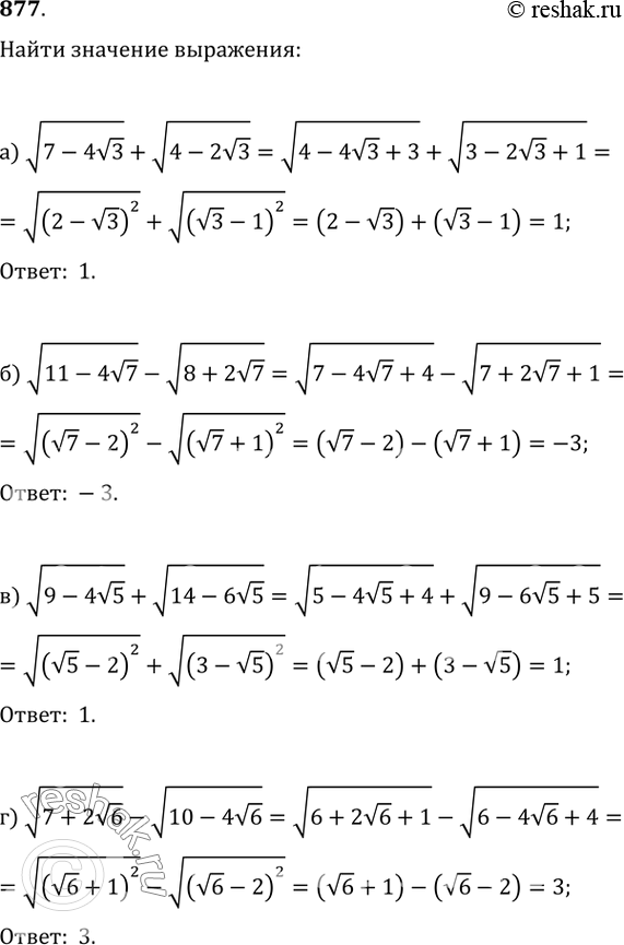
Изображение 877. Найдите целое число — значение выражения:а) v(7-4v3)+v(4-2v3);   б) v(11-4v7)-v(8+2v7);в) v(9-4v5)+v(14-6v5);   г)...

Рассмотрим вариант решения задания из учебника Никольский, Потапов 9 класс, Просвещение:
877. Найдите целое число — значение выражения:
а) v(7-4v3)+v(4-2v3); б) v(11-4v7)-v(8+2v7);
в) v(9-4v5)+v(14-6v5); г) v(7+2v6)-v(10-4v6).
*Цитирирование задания со ссылкой на учебник производится исключительно в учебных целях для лучшего понимания разбора решения задания.
*размещая тексты в комментариях ниже, вы автоматически соглашаетесь с пользовательским соглашением