Упр.15.4 ГДЗ Мордкович 7 класс (Алгебра)
Решение #1

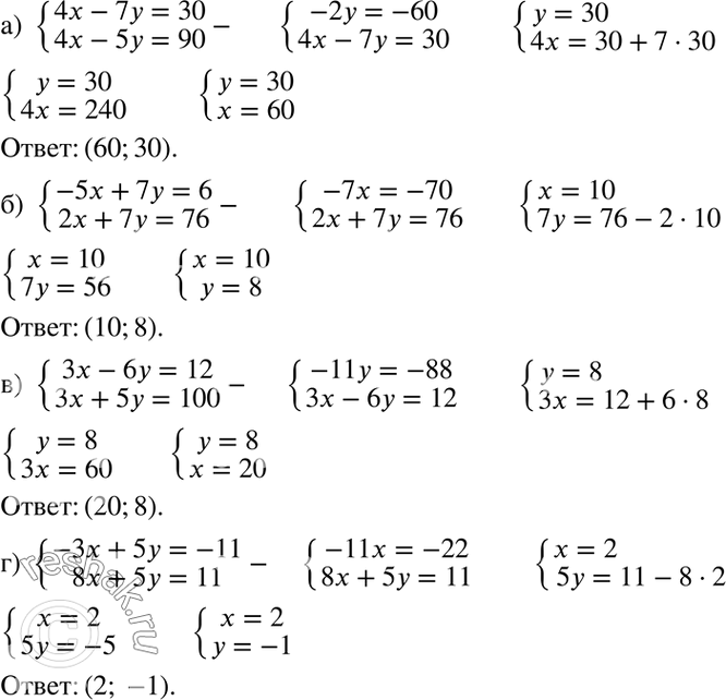
Рассмотрим вариант решения задания из учебника Мордкович, Александрова 7 класс, Мнемозина:
а) система
4x-7y=30,
4x-5y=90;
б) система
-5x+7y=6,
2x+7y=76;
в) система
3x-6y=12,
3x+5y=100;
г) система
-3x+5y=-11,
8x+5y=11.
*размещая тексты в комментариях ниже, вы автоматически соглашаетесь с пользовательским соглашением