Упр.58 ГДЗ Макарычев Миндюк 8 класс (Алгебра)
Решение #1
Решение #2

Рассмотрим вариант решения задания из учебника Макарычев, Миндюк, Нешков 8 класс, Просвещение:
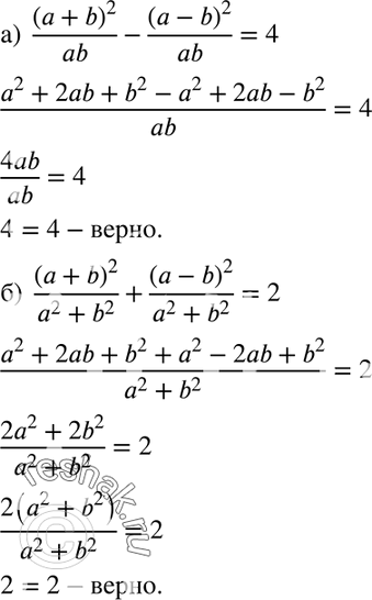
58. Докажите, что:
а) выражение (a+b)2/ab - (a-b)2/ab тождественно равно 4;
б) выражение (a+b)2/(a2+b2) + (a-b)2/(a2+b2) тождественно равно 2.
*размещая тексты в комментариях ниже, вы автоматически соглашаетесь с пользовательским соглашением