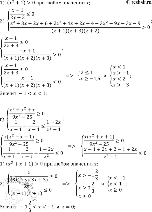
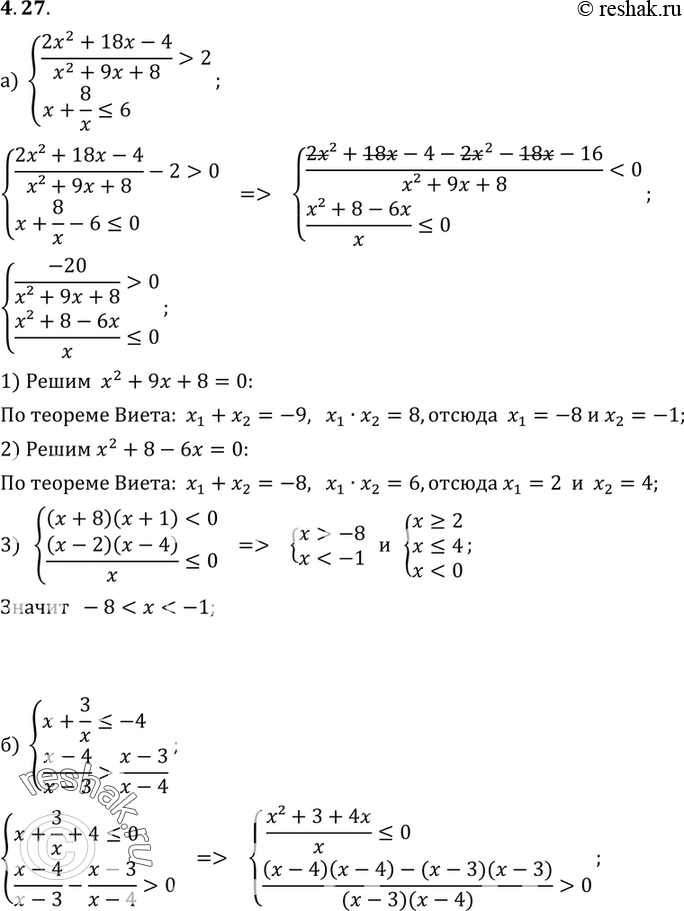
Упр.4.27 ГДЗ Мордкович 9 класс (Алгебра)
Решение #1
Решение #2

Рассмотрим вариант решения задания из учебника Мордкович 9 класс, Мнемозина:
4.27. Решите систему неравенств:
*размещая тексты в комментариях ниже, вы автоматически соглашаетесь с пользовательским соглашением