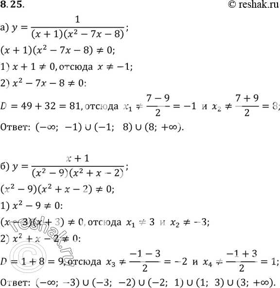
Упр.8.25 ГДЗ Мордкович 9 класс (Алгебра)
Решение #1
Решение #2

Рассмотрим вариант решения задания из учебника Мордкович 9 класс, Мнемозина:
Найдите область определения функции:
8.25
*размещая тексты в комментариях ниже, вы автоматически соглашаетесь с пользовательским соглашением